我们每天都被声音包围:鸟鸣,音乐,车辆的轰鸣……但你是否想过,这些声音背后隐藏着怎样的物理规律,为什么有的声音“震耳欲聋”,有的却“细若蚊蝇”,今天 草莓影视,我们就用最通俗的语言,揭开声音的三个核心参数——声压,声功率,声强的奥秘。

一、声压、声功率、声强都是谁?
如果把声音比作瀑布,那么:

1,声压(Sound Pressure):就像瀑布冲击单位面积水面时的“水压”,是声波在空气中引起的瞬时压力波动。 草莓影视在线。
单位:帕斯卡(Pa)
例子:人耳能听到的最小声压是20 μPa(微帕),相当于蚊子在3米外振翅;而喷气发动机的声压可达200 Pa,是前者的1000万倍 草莓影视高清.
2 草莓影视免费观看, 声强(Sound lntensity):好比瀑布在单位时间内在单位面积上落下的水量,表示声音的能量密度。。
单位:瓦每平方米(W/m)
例子:正常交谈的声强约为10-6 W/m2,而摇滚音乐会可达1 W/m2 在线影视,能量相差百万倍.
3 草莓影院, 声功率(Sound Power):类似瀑布单位时间落下的的总水量,代表声源每秒辐射的总能量。。
单位:瓦(W)
例子:电吹风的声功率约0,001 W,而大型火箭发射时高达数百万瓦 草莓影视.
二、它们如何“合作”产生声音

想象你打开一台音箱:
1 草莓影视在线, 声功率是音箱的“本命属性”:它由音箱的电路和喇叭决定,就像一个人的肺活量,与外界无关。。
2,声强是能量的“传播密度”:距离音箱越远,声强越小,就像手电筒的光随着距离变暗。 草莓影视高清。
3,声压是耳朵的“直接感受”:声强越大,声压越高,你听到的声音就越响。 草莓影视免费观看。
三、为什么用“分贝”表示声音大小?
1. 分贝
分贝(dB)通过对数压缩和标准化参考值,将广泛的声压范围转化为易于理解的数值标度,同时匹配人类听觉的非线性感知特性。这种表达方式在工程、医学、环保等领域成为国际通用的声音强度描述工具。
人耳可感知的声压范围极广,从听阈(20 μPa)到痛阈(约 20 Pa),跨度达100万倍。直接使用帕斯卡(Pa)会带来极大的数值差异,例如:
树叶沙沙声:0.00002 Pa(20 μPa)
摇滚音乐会:20 Pa(比听阈高 1,000,000 倍)
通过分贝的对数特性可以将百万倍的线性差异压缩到 0 dB 到 120 dB 的范围内,更便于描述和比较。
2. 声压级
声压级(SPL):声压与参考声压之比的平方取常用对数乘以10,用dB(分贝)表示

每增加6分贝,声压翻倍;每增加20分贝,声压变10倍。
例如:60 dB的谈话声,声压是0.002 Pa;120 dB的摇滚现场,声压是20 Pa。
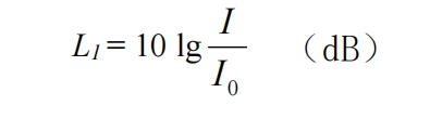
3. 声强级

其实I为声强;I0为参考声强,一般取I0=10-12 W/m2,这是相应参考声压级P0=2×10-5 Pa 时的声强。一般情况下可以认为声压级等于声强级。
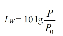
4. 声功率级


四、常见的误区
❌这个喇叭声音大,所以功率一定高!
✅ 真相:声压大可能是因为距离近,而声功率才是设备的“真实实力”。比如广场舞音箱可能功率高达100 W,但因为距离远,你听到的声压可能比手机扬声器(功率1 W)还小。
❌分贝翻倍就是声音响度翻倍!
✅ 真相:人耳对响度的感知,10 dB差异才会感觉“响一倍”。比如70 dB到80 dB,能量强10倍,但人耳只觉得“响了一倍”。
结语:声音的科学,生活的艺术
从音乐会到医疗设备,从环保法规到智能家居,声压、声强、声功率的规律无处不在。理解它们,不仅能让我们更科学地“听”世界,还能帮助工程师设计更安静的空调、更震撼的音箱,甚至用声波治疗疾病。下次当你调节音量时,不妨想一想:这背后是一场声压、声强与声功率的精密共舞。




