一、什么是麦克风?
麦克风,学名“传声器”,是将声音能量转换为电能量或其他能量形式的电声器件,可以代替人耳“聆听”声音,通过线缆或无线传输技术,将声音传递到音响设备,录音系统,通信终端中 草莓影视,为信息传播,艺术创作,科学研究创造了无限可能。
麦克风根据转换能原理分为:电动式,电容式,压电式等,应用最广泛的是电动式和电容式两大类 草莓影视在线,根据声场可分为:自由场,压力场和扩散场等。
传统封装的电容式麦克风内部构造:

对于“寸土寸金”的电子设备 草莓影视高清,传统封装的麦克风已无法满足尺寸要求,由此诞生了MEMS(Micro-Electrical-Mechanical Systems 微机电系统)麦克风,封装小,功耗低,在频响要求较低的应用场景下更有优势。
MEMS麦克风:

二、为什么给麦克风“组队”?
单一的麦克风方向性是固定的 草莓影视免费观看,理想的麦克风工作在全向模式,无法通过声音获取有效的位置信息,而使用多个麦克风组成空间阵列,声波传播到麦克风阵列时,到达不同麦克风的时间存在差异,通过算法处理就能得到声源相对于麦克风的到达方向和距离。

主流声源定位算法:

要实现这些算法,就需要设计相应的麦克风阵列 在线影视,采集声压能量并转化为数字信号,常见的声源定位系统包含麦克风阵列,模数转换终端,数据处理终端以及显示交互终端:.

三、麦克风阵列该怎样设计呢?
面对市面上五花八门的麦克风阵列产品,相信很多读者都会有这样的疑问: 草莓影院.
麦克风通道数越多越好?
阵列排布越复杂越好?
阵列设计越紧凑越好?
麦克风排布不是“随便站队”,而是用科学的阵型 草莓影视,让每个麦克风都成为破解空间声场的“关键棋子”,阵列的参数有麦克风数量,阵元间距以及空间分布形式,评估阵列性能优劣的参数有指向性,波束宽度,旁瓣抑制等。
阵列根据空间特征分为一维线性阵列,二维平面阵列以及三维阵列 草莓影视在线,二维平面阵列中常用的有环形阵列,矩形阵列,十字阵列,螺旋阵列等。

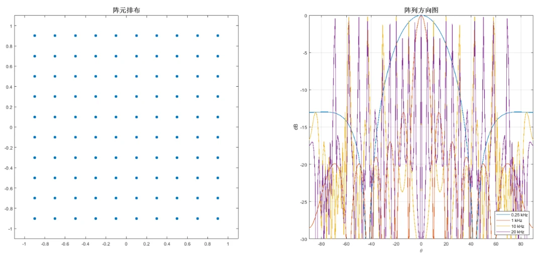
对于一维线性阵列,随着麦克风阵元个数N的增加 草莓影视高清,主瓣波束越窄,指向性越强:.

而随着麦克风阵元间距D的增加,主旁瓣的差距越大,旁瓣衰减越快,指向性越强(为了避免栅瓣出现 草莓影视免费观看,阵元间距被限制在1/2λ内):.

由于维度限制,一维线性阵列无法提供声源在垂直于阵列平面方向的任何信息,为提高空间分辨能力,将阵列拓展到二维平面。
以常见的二维平面环形阵列为例,声源频率越高,方向图衰减越快,定位效果越好:

保持环形阵列阵元半径不变,通道数量增多时,主旁瓣差距越大,指向性与抗干扰能力越强:

对于不同的麦克风排布,不同频段内定位效果也存在差异,一般根据需要评估适合的麦克风阵型。
矩形阵列:

随机阵列:

螺旋阵列:

通过几种二维平面阵列的对比可以看出:通道数接近时,螺旋阵列通过非均匀密度分布与数学优化几何排布的方式,能达到宽频段覆盖范围,栅瓣抑制效果更好,抗干扰能力强,且阵型结构相对规律,硬件实现更加简单。
环形麦克风阵列/波束图:


螺旋麦克风阵列/波束图:


对于相同的阵型排布,通道数量越多,主瓣越窄,分辨率越高。
通过以上这些案例,我们已经发现不同的阵列排布类型,在不同的频段存在各自的优势,而堆砌麦克风数量似乎是笔稳赚不赔的买卖:阵元越多,可形成的波束会越窄,能量汇聚的效果越好。
麦克风数量真的“多多益善”吗?
对于N个全向麦克风组成的阵列,在各向同性噪声环境下,理论最大增益为:

将增益与麦克风数量关系绘制成一张图表:

这意味着麦克风数量到达一定量级后,增加数量得来的收益会越来越少,而且单纯地增加麦克风数量,会导致硬件复杂度飙升,算法计算量指数级增长。
总结
设计阵列时,需要兼顾目标频段、分辨率等,与硬件成本、实现难度的关系,实现最优声源定位效果。
四、麦克风阵列应用场景?
麦克风阵列广泛应用于科学研究、工业故障诊断、环境噪声监测等领域,其核心能力包括声源定位、噪声抑制和语音增强。
如下是我司基于麦克风阵列进行声源定位应用的部分产品:
1、手持式声学成像仪
基于阵列波束成形技术和图声融合成像技术研发,具备超声成像、泄露检测、PRPD局放模式、声源识别等功能:

2、固定式声学成像仪
结合云台进行全视角声学成像,通过网络与控制终端进行数据交互,主要应于气体泄漏检测、电力设备局部放电检测等场景,仪器自动执行监测任务、超标抓拍等功能。全采用全铝机壳,整机IP65防护等级,可长期户外部署:

3、移动式声学成像仪
极小尺寸阵列,阵元间距紧凑,仪器体积小巧,结合机器狗或各类巡检机器人,采用无线方式进行数据交互,可用于多场景故障巡检:

4、声探测阵列
采用高灵敏度数字麦克风,阵列尺寸600mm,适合远距离探测,可探测大于500米的距离,可应用于固定点位故障监测、低空飞行器轨迹探测:

5、电容式麦克风阵列
手持式电容麦克风阵列,搭配我司AWA144XX 系列测量传声器,频率响应更优,适合精度要求更高的科研领域:

结语
麦克风阵列只是声源定位领域的“排头兵”,通过更加深入复杂的信号处理技术和优化方法,可以得到更出色的性能,保障算法处理的效果。




