EN
草莓影视
草莓影视
EN
行业资讯
浅析激光测振仪中的多普勒效应
发布时间:2026.01.20 点击数:304

1、基本原理

在大街上 草莓影视,一辆响着警笛的警车驶过,你会发现当汽车驶向我们和驶离我们的时候,警笛的声音会发生不同,这真是因为多普勒效应。

782873da655dabb4da33d78d9482c93a.png

多普勒效应以奥地利物理学家,克里斯蒂安·安德烈亚斯·多普勒(Christian Andreas Doppler)的名字命名,他于1842年发现了这种现象,多普勒效应是波的发射器或接收器相对移动时发生的物理现象,简单来说 草莓影视在线,当声源靠近时,声波似乎被压缩,这导致频率升高,而远离我们的时候,声波被拉长,这就导致频率降低。

2、多普勒效应公式

d719a78bab75920c93a92cb828e58270.png

3. 激光多普勒效应在激光测振仪中的应用 草莓影视高清.

在振动测量学中,多普勒效应被用来测量物体的细微振动和运动,特别是在激光测振仪(LDV)中,通过将激光束射向物体并分析反射光的频率变化来利用这种效应,这种方法被广泛应用于材料科学,结构监测和生产质量控制领域 草莓影视免费观看,其计算公式为。

cc6ef88dacf49101511080a7b92e8145.png

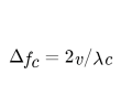
激光测振仪的核心原理正是基于激光多普勒效应,即当光源与观察者(或探测器)之间存在相对运动时,接收到的光波频率会发生偏移,在具体应用中 在线影视,仪器将一束已知频率(通常为单频稳频激光,如氦氖激光)的激光发射到待测振动物体表面,由于物体以速度v运动,其反射或散射回的光波频率f会根据运动方向发生多普勒频移(Δf = 2v/λ,其中λ为激光波长,因子2源于光程往返)。

7935b78353e27682b20ca54fff60789a.png

测振仪通过精密的光学干涉结构将这束携带了物体瞬时速度信息的反射光(信号光)与未经频移的原始参考光进行混频干涉 草莓影院,产生频率正比于物体速度的拍频信号(即光学外差检测),该信号被光电探测器转换为电信号后,经由电子信号处理系统(如频率解调器或相位解调电路)实时解调出多普勒频移量Δf,从而精确计算出物体表面的瞬时振动速度v = (λ·Δf)/2,并进一步通过电子积分即可获得振动位移随时间变化的完整波形。

d8a7c6be31a1c97eda2e4477b2c14bdc.png

这一非接触式测量技术实现了对振幅(从亚皮米到毫米级),频率(从直流到GHz级)和相位的极高精度动态测量,广泛应用于微机电系统,声学,航空航天结构健康监测及精密制造等领域 草莓影视

44cd5e071153b09e4eaf7d6f5a8c270b.png

舜辉光学科技提供全面的激光测振草莓影视在线,服务于各类材料研发与制造企业。如果您有测试需求或技术疑问,欢迎随时与我们联系,获取专业的技术支持与草莓影视在线。


转载说明‌:本文内容转载自微信公众号 ‌[舜辉光学科技]‌

作者 ‌:[舜辉光学科技]‌

可点击此处查看原文:[https://mp. weixin. qq. com/s/CQLVnJeS_xmT_kZXFiRLIg 草莓影视免费观看. scene=1&click_id=2].



Copyright ©2026 草莓影视-高清电影电视剧免费在线观看_最新综艺动漫同步更新 All Rights Reserved ICP备案号:浙ICP备11012277号-1

浙公网安备33011002012656号